Artificial Intelligence
Full Marks: 60
Pass Marks: 24
Time: 3 hours
Candidates are required to give their answers in their own words as far as practicable. The figures in the margin indicate full marks.
Attempt all the questions: (10×6=60)
Define with suitable supporting statements and examples, “Artificial Intelligence is the system that act like humans”.
For each of the following agents, determine what type of agent architecture is most appropriate (i.e., table lookup, simple reflex, goal-based or utility-based).
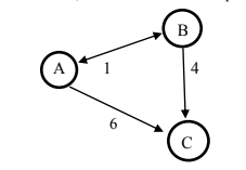
Consider the following graph, steps cost is given on the arrow: Assume that the successors of a state are generated in alphabetical order, and that there is no repeated state checking. A is the starting node and C is goal node.

Define learning. Why learning frame work is required? Explain about learning frame work with block diagram and examples.
Briefly describe the approaches of knowledge representation with example.
Consider the following sentence:
$[(\text{food} \Rightarrow \text{party}) \lor (\text{drinks} \Rightarrow \text{party})] \Rightarrow [(\text{food} \land \text{drinks}) \Rightarrow \text{party}]$
Convert the following sentence into predicate logic.
Why disjunctive normal form is required? Explain all the steps with examples.
What is the difference between symbolic and non-symbolic AI? Represent the following knowledge in semantic network.
Explain the steps of Natural Language Processing.